办理会员咨询热线:4000-156-001

大渡口区 2022年1月至12月享受灵活就业社会保险补贴人员(第一批)公示

所在地区: 重庆-大渡口- 发布日期: 2023年5月8日
建设快讯正文

大渡口区 2022年1月至12月

享受灵活就业社会保险补贴人员(第一批)公示

?

按照重庆市财政局 重庆市人力资源和社会保障局《关于印发《重庆市就业补助资金管理办法》的通知》(渝财规〔2019〕15号)要求,现将拟发放2022年1月至12月享受灵活就业社会保险补贴人员(第一批)予以公示。

一、公示期

? 2023? 年? 5? 月? 8? 日— 2023? 年? 5? 月? 12? 日(5个工作日)。

?? 二、受理地点及电话

地点: 大渡口区就业和人才中心城乡就业统筹科??????????????????

通讯地址(邮编): 大渡口区春晖南路1号移动互联网产业园1 楼???

(400080)??????????????????????????????????

联系电话:??? 68911374???????????????????????????????????????

联系人:?????? 林? 娟??????????????????????????????????????????

三、公示要求

1.如对公示内容有异议,请以书面、署名形式反映。

2.反映人必须用真实姓名,反映情况应实事求是,真实、具体、敢于负责。不允许借机捏造事实,泄愤报复或有意诬陷,一经查实,将严肃处理。

3.受理机构对反映人员和反映情况严格保密。

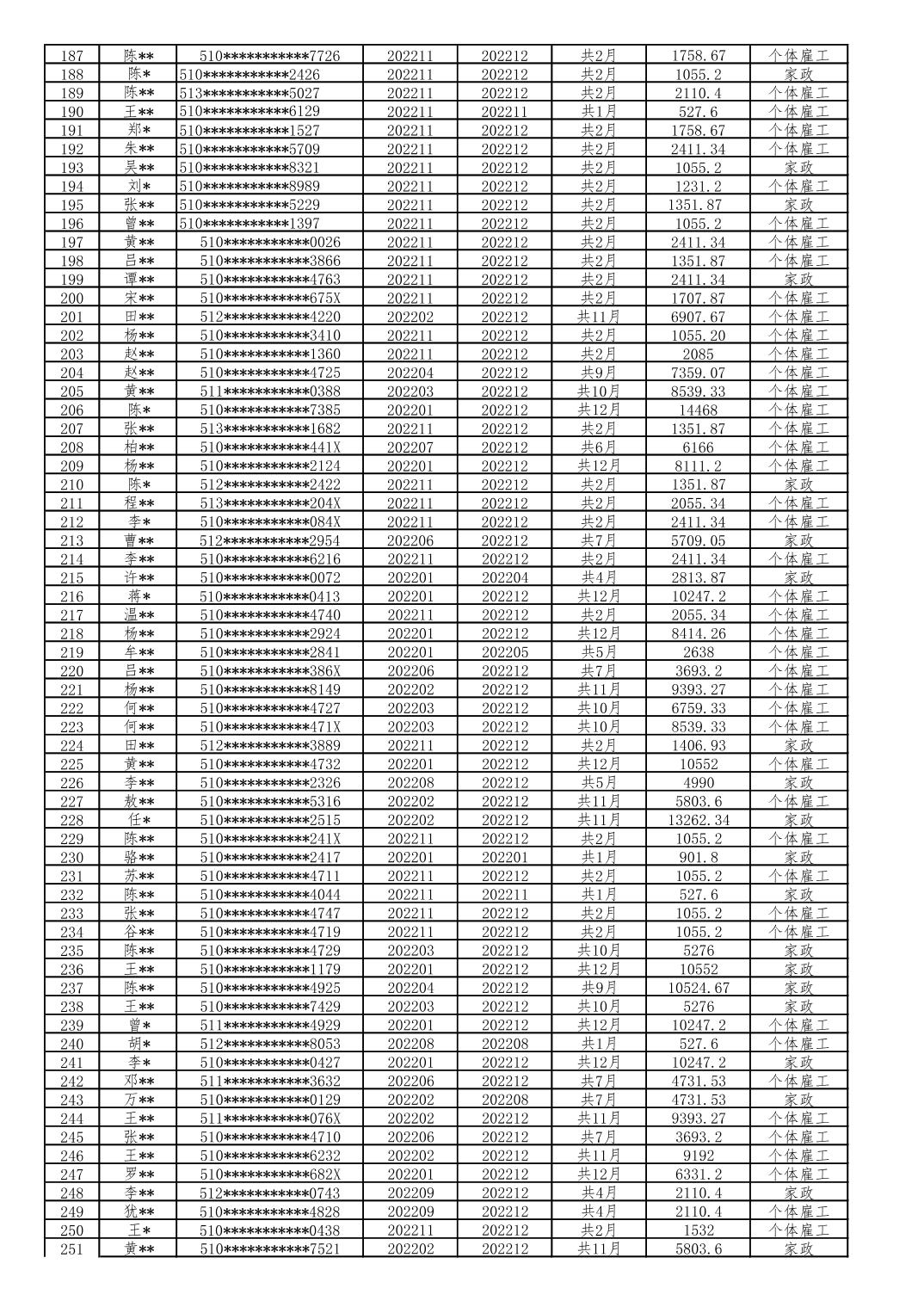
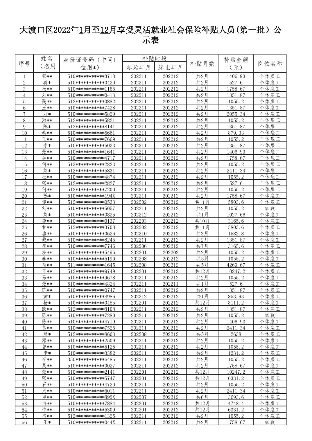
附件: 大渡口区2022年1月至12月享受灵活就业社会保险补贴人员(第一批)公示表

?

大渡口区就业和人才中心

2023 年 5月 8 日

图片附件

图片附件

图片附件

图片附件

图片附件

按照客观、公正、公开的原则,本条信息受业主方委托独家指定在中国建设招标网 www.jszhaobiao.com 发布

注册会员 享受贴心服务

标讯查询服务

让您全面及时掌握全国各省市拟建、报批、立项、施工在建项目的项目信息。

帮您跟对合适的项目、找对准确的负责人、全面掌握各项目的业主单位、设计院、总包单位、施工企业的项目 经理、项目负责人的详细联系方式。

帮您第一时间获得全国项目业主、招标代理公司和政府采购中心发布的招标、中标项目信息。

标讯定制服务

根据您的关注重点定制项目,从海量项目中筛选出符合您要求和标准的工程并及时找出关键负责人和联系方式。

根据您的需要,向您指定的手机、电子邮箱及时反馈项目进展情况。

咨询热线:4000-156-001